
国际业务International
阿联酋注册证

埃及注册证
哥斯达黎加注册证
吉尔吉斯斯坦注册证
津巴布韦注册证
老挝注册证
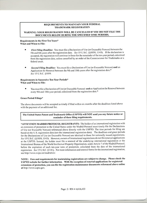
美国注册证
南非注册证
台湾注册证
突尼斯商标注册证
乌兹别克斯坦注册证
香港注册证
新加坡注册证
约旦注册证
智利注册证


商标
专利
版权
涉外
诉讼
不正当竞争
疑难案件处理
海关备案
知识产权顾问